Если вы видите это сообщение, значит, произошла проблема с загрузкой файлов в стилей (CSS) нашего сайта. Попробуйте сбросить кэш браузера (Ctrl+F5).
Если это не поможет, а вы находитесь в регионе, где возможны ограничения интернет-трафика с российских серверов - воспользуйтесь VPN.
3

Как рассчитать сечение проводов при подключении точечных светильников через трансформатор?

Я Виктория [1.8K] 10 лет назад 
1

Сечение провода зависит от силы тока, который значительно возрастает при уменьшении напряжения.

Вам необходимо суммировать мощность всех светильников, которые будут подключены к понижающему трансформатору и разделить сумму на выходное напряжение трансформатора. Сечение провода можете определить по такой или подобной таблице:

Есть другой вариант (считаю более приемлемый) - рассчитывать сечение провода на один светильник. При таком варианте от трансформатора к каждому светильнику будет идти своя отдельная линия. Расход проводов увеличится, но работать с такой схемой будет удобнее. Не всегда к светильнику можно подсоединить провод большого сечения. Обычно гнездо для подключения рассчитано на провод сечение не более 2.5 квадрата.

автор вопроса выбрал этот ответ лучшим
Центр беспроводных систем [1.1K]
В таблице приведены токи для кабелей по ГОСТу. На практике для этих целей используют провод изготовленный по тех. условиям. По этой таблице можно было ориентироваться лет 20 назад. Мы все знаем как должно быть, но не понимаем как есть на самом деле. Почему переменный ток проходит через конденсатор? Он же переменный, перепрыгнул и пошел дальше.  —  10 лет назад 
комментировать
1

Для этого надо определиться с суммарной мощностью всех светильников.

Мощность понижающего трансформатора должна быть процентов на 15-ь больше, опять же суммарной мощности всех светильников.

Так же важно определиться (при расчётах сечения проводов) со схемой подключения точечных светильников.

Если у каждого светильника свой отдельный трансформатор (они подключаются параллельно, светильники к их выходам), это конечно же дорого, но эффективно, тут сечение жилы одно, иная схема подключения, сечение жилы иное.

Ну а в целом существую таблицы (таблица ниже, с учётом длины провода и его сечение),

важно определиться что это за провода, алюминиевые, или медный.

На освещение, как правило достаточно провода с сечение полтора квадрата (медный), больше просто нет смысла, конечно надо учитывать и длину кабеля и тип ламп используемых в точечных светильниках.

Если в целом, то сечение жилы должно соответствовать нагрузке, вот это основной момент, при расчётах.

1

Светильник мощностью 60 Вт при напряжении 12 вольт будет потреблять ток 60/12=5А. Исходя из этого берёте таблицу длительно допустимых токов для сечений кабеля и расчитываете сечение самого кабеля. Примерно: 16А выдерживает 1,5 мм.кв и 25А - 2,5 мм.кв. Но не стоит близко подбирать к максимальному току, оставьте запас минимум 30%, что бы провода не грелись сильно. Провод начинает греться примерно при 50% нагрузке от максимально допустимой.

0

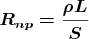
Провести данные расчеты можно но в интернете есть много таблиц которые помогут Вам. Но можно и самому Сопротивление каждой лампы Rl= U2/P = 2.88 Ом, а сопротивление провода длиной L и сечением S

где ρ - удельное сопротивление, в данном случае меди (0,0173 Ом мм2/М).

Если на выходе трансформатора поддерживается напряжение U0 = 12 V, то ток через каждую лампу

а мощность, выделяемая в лампе

Вот по этим формулам делаются рассчеты.

А ЭТО ТАБЛИЦА :

Знаете ответ?
регистрация