Если вы видите это сообщение, значит, произошла проблема с загрузкой файлов в стилей (CSS) нашего сайта. Попробуйте сбросить кэш браузера (Ctrl+F5).
Если это не поможет, а вы находитесь в регионе, где возможны ограничения интернет-трафика с российских серверов - воспользуйтесь VPN.
1

От чего зависит потребляемая мощность электроплиты?

Elden [108K] 7 лет назад 
1

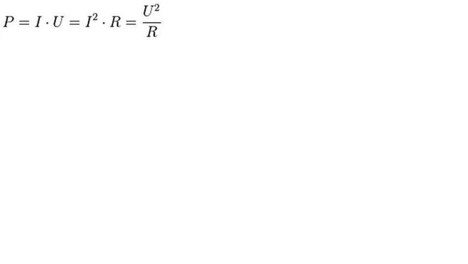
Потребляемая мощность электроплиты зависит от мощности нагревательных элементов самой плиты и качества электропитания.

Про мощность нагревательных элементов понятно - обычный тэн, рассчитанный по величине электрического сопротивления(R в формуле) на определённую мощность. От сопротивления будет зависеть ток (I в формуле)

Уровень напряжения(U в формуле) играет немаловажную роль, это видно из формулы мощности - чем меньше напряжение

Знаете ответ?
Смотрите также:
Где купить бесступенчатый регулятор мощности на электроплиту Веста? Как подобрать кабель по мощности для электроплиты, если есть паспорт на электроплиту? От чего зависит мощность конфорки электроплиты? Где купить переключатель мощности для электроплиты, какие виды бывают? Какая золотая серединка между мощностью и энергией удара в перфораторе для дома? Сколько киловатт в одной лошадиной силе? Как перевести мощность лошадиных сил в киловатты и обратно? На сколько ампер автомат надо ставить на стиральную машину-автомат? Как рассчитать мощность вытяжки для кухни? Сколько киловатт вытяжку брать для средней кухни? Сколько электроэнергии потребляет кнопка розжига газовой плиты, какая потребляемая мощность? Сколько потребляет электричества смеситель (кран) мгновенного нагрева воды, какой они мощности?
регистрация